填补黄河、长江流域关键时期遗传史空白杜德配资,复旦团队最新分子考古成果为理解东亚农业人群扩张机制提供了新视角。
农业的出现标志着人类从狩猎采集迈向定居种植,深刻变革了人类的生活方式、人口结构、健康状况、遗传适应及文化面貌。这场农业革命在西亚、东亚和美洲等多地独立起源后,逐步向周边区域扩散。虽然考古研究已初步勾勒出农业传播的时间、地理节点与路径,但其背后的复杂扩散机制,尤其是“人口扩散”与“文化扩散”的学术争论,仍是学术界的焦点。
中国的黄河与长江流域作为世界上最古老的独立的农业起源中心之一,分别驯化了粟黍和水稻,孕育了早期中华文明,更是推动了史前农作物的全球化传播。但是,由于古代人类基因组数据的匮乏(尤其是长江流域),这两大流域人群的遗传历史研究长期存在空白。
近日,复旦大学分子考古实验室文少卿团队、生命科学学院金力院士和王传超团队、南京师范大学贾鑫团队联合甘肃省文物考古研究所、陕西省考古研究院、郑州大学、上海自然博物馆(上海科技馆分馆)、重庆市文物考古研究院、重庆中国三峡博物馆、中国科学技术大学、兰州大学、太原市文物保护研究院、西北大学、榆林市文物考古勘探工作队、山西省考古研究院、西北工业大学、华东师范大学和郑州市文物考古研究院等单位,在Cell Genomics发表了题为“The genomic history of East Asian Middle Neolithic millet- and rice-agricultural populations”的重要研究论文。
该研究收集了20处考古遗址(距今6231-4650年前)的74例样本。在黄河流域,该研究提取和测序了上游仰韶文化和马家窑文化的21个古基因组(甘肃省的圪垯川遗址、王家阴洼遗址、大地湾遗址和山那树扎遗址),中游仰韶文化的43个古基因组(山西省的辕村遗址和镇城遗址;陕西省的吴中遗址、南寨子遗址、东营遗址、杨官寨遗址、灰坡岭遗址、马腾空遗址和王阳畔遗址)以及下游大汶口文化的3个古基因组(江苏省的刘林遗址,后与本实验室之前发表的黄河下游大汶口文化DNA数据集合并)。在长江流域,该研究提取和测序了中游大溪文化的4个古基因组(重庆市的大溪遗址)和下游崧泽文化和良渚文化的3个古基因组(上海市的福泉山遗址和马桥遗址)。该研究发布了迄今为止最大规模的东亚新石器时代中期的古基因组数据集,涵盖了东亚两大农业起源中心,为深入探究东亚农业人群扩散机制提供了关键遗传学证据。

图1 A 样本时空分布图;图1B 主成分分析图
新石器时代中期,粟黍农业与人群的共扩散
在新石器时代中期,以黄河中游人群为核心,粟黍农业人群呈现大规模辐射状扩散。
人群向北扩展至河套地区、向东北扩展至西辽河流域、向南扩展至长江中下游地区、向西扩展至青藏高原东北部、向东扩展至黄河下游地区。
这一遗传扩散格局与庙底沟文化的扩张和粟作农业的发展高度吻合杜德配资。
研究同时揭示,在与周边文化人群的互动过程中,黄河流域不同区域的人群形成了独特的遗传结构。沿渭河流域分布的仰韶文化人群与青藏高原人群具有较近的遗传亲缘关系,这些个体具有8.3%~55%高原相关的祖先成分;位于陕西东部、晋西南和河南中西部的大部分人群遗传结构相对单一,主要来源于黄河中游相关的祖先成分;而黄河下游人群则主要受到当地狩猎采集人群以及南方人群的影响,具有7.1%~57.3%中国南方相关的祖先成分。
研究表明,文化因素和地理因素共同塑造了黄河流域人群遗传亚结构的形成,而地理因素在其中起到了关键性的作用。

图2 qpadm模拟图
黄河流域与长江流域存在双向的人群互动
沿海地区一直被认为是南北方交流的重要区域,自新石器时代早期以来就存在着人群之间的交流互动。此前的研究认为,黄河流域的南方成分主要源自东南沿海地区。但该研究通过分析长江中下游新石器时代中期的基因组数据,发现黄河流域人群所具有的南方成分更可能是源于邻近的长江流域而不是东南沿海地区。
值得注意的是,南北方人群的交流并不局限于东部沿海地区,在南阳盆地的朱岗遗址也检测到14.7%的南方祖先成分。
此外,早在新石器时代中期,黄河流域相关的祖先成分就扩展到长江流域,在长江中下游人群的基因组中均检测到黄河流域相关的祖先成分。这些结果都表明,黄河流域和长江流域早在新石器时代中期就存在双向的人群互动。
高原人群与黄河上游人群之间存在密切的遗传联系和交流互动
青藏高原被誉为“世界第三极”,关于青藏高原人群的形成过程一直是学术界的核心问题之一,主流假说认为其主要遗传成分源于中国北方农业人群。但由于假设来源区古基因组数据的不足,该假说无法得到进一步验证。
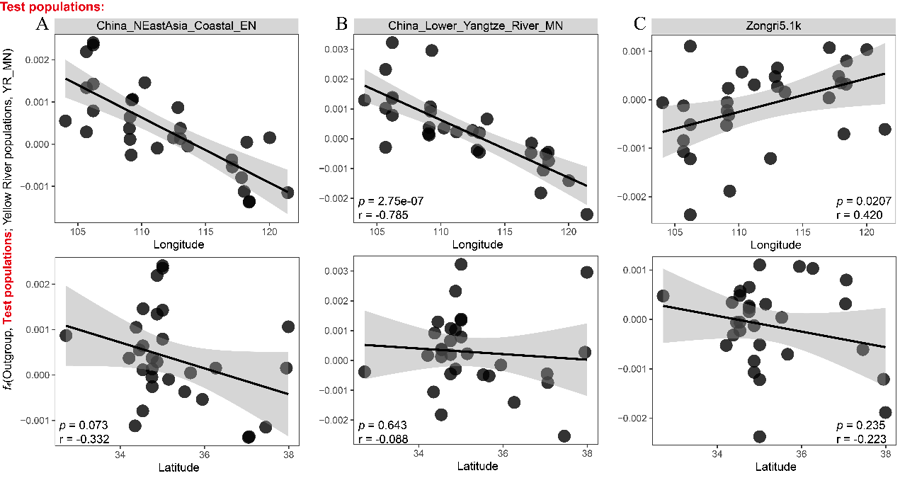
该研究发现,与中国北方其他地区人群相比,高原人群与黄河上游农业人群之间的遗传联系最为密切。相关性分析表明,与高原人群的遗传联系与经度呈显著的相关关系,而与纬度无明显的相关性。qpadm分析显示黄河上游人群拥有19.5%-55%的高原祖先成分,尤其是圪垯川遗址和大地湾遗址都有高原成分超过50%的个体。
特别值得注意的是,研究团队在黄河上游的大地湾遗址中,发现了一例迄今为止最早的(5819 cal BP),具有青藏高原人群特有EPAS1单倍型的现代人,这也是黄河流域唯一的一例具有青藏高原特有EPAS1单倍型的个体。这些发现都表明,早在距今5800年左右,高原人群与黄河上游人群之间存在着密切的遗传联系和交流互动。

图3 f4统计与经度/纬度的相关性分析,f4值越小代表与测试群体遗传联系越紧密
台湾南岛语人群遗传起源可追溯至长江流域
关于南岛语人群的起源和扩散,前期通过对福建和台湾省古人和现代人群的DNA研究,发现无论台湾古代人群还是现代台湾南岛语族与大陆华南地区壮侗语人群和福建古代人群共有的等位基因远超其他东亚人群,表明南岛语族和壮侗语人群遗传同源,南岛语族可能直接起源于中国东南沿海。然而也有研究者根据南岛语人群Y染色体类型的地理分布提出猜想,南岛语族可能有更北方的起源,甚至可追溯至新石器时代的长江流域农业人群,由于长江流域基因组数据的缺乏,该假说无法得到进一步的验证。
研究团队通过对长江流域新石器时代中期的古人基因组数据的分析,发现现代的台湾南岛语人群与长江流域农业人群的遗传亲缘性高于与新石器时代晚期之前的中国东南沿海人群的亲缘性,并且这些人群的遗传成分主要来自于长江流域农业人群,这些发现证实了南岛语族祖先可进一步追溯至新石器时代长江流域农业人群,凸显了长江流域人群迁徙在南岛语族形成和扩散中的作用。
这项研究通过构建和分析迄今最大规模的东亚新石器时代古基因组数据集,为理解新石器时代中期农业扩张如何深刻塑造东亚人群的遗传历史提供了重要的新视角。它填补了黄河、长江流域关键时期的遗传史空白,解决了关于东亚农业人群扩散机制、高原人群形成及南岛语族起源的长期学术争议。
复旦大学科技考古研究院博士后熊建雪、厦门大学生命科学学院博士生徐煜、甘肃省文物考古研究所研究员陈国科、陕西省考古研究院副研究员杨利平、郑州大学考古与文化遗产学院教授周亚威为该论文的共同第一作者杜德配资。南京师范大学环境考古研究院贾鑫教授、复旦大学生命科学学院金力院士、复旦大学现代人类学教育部重点实验室/厦门大学人类学研究所王传超教授、复旦大学科技考古研究院的文少卿副教授为共同通讯作者。
智慧优配提示:文章来自网络,不代表本站观点。